外科理论与实践 ›› 2025, Vol. 30 ›› Issue (05): 428-437.doi: 10.16139/j.1007-9610.2025.05.09
收稿日期:2025-02-19
出版日期:2025-09-25
发布日期:2025-12-09
通讯作者:
李皇保,E-mail: lhb641834@163.com基金资助:
WANG Yu, HU Kaixin, ZHAO Fengqing, LI Huangbao(
)
Received:2025-02-19
Online:2025-09-25
Published:2025-12-09
摘要:
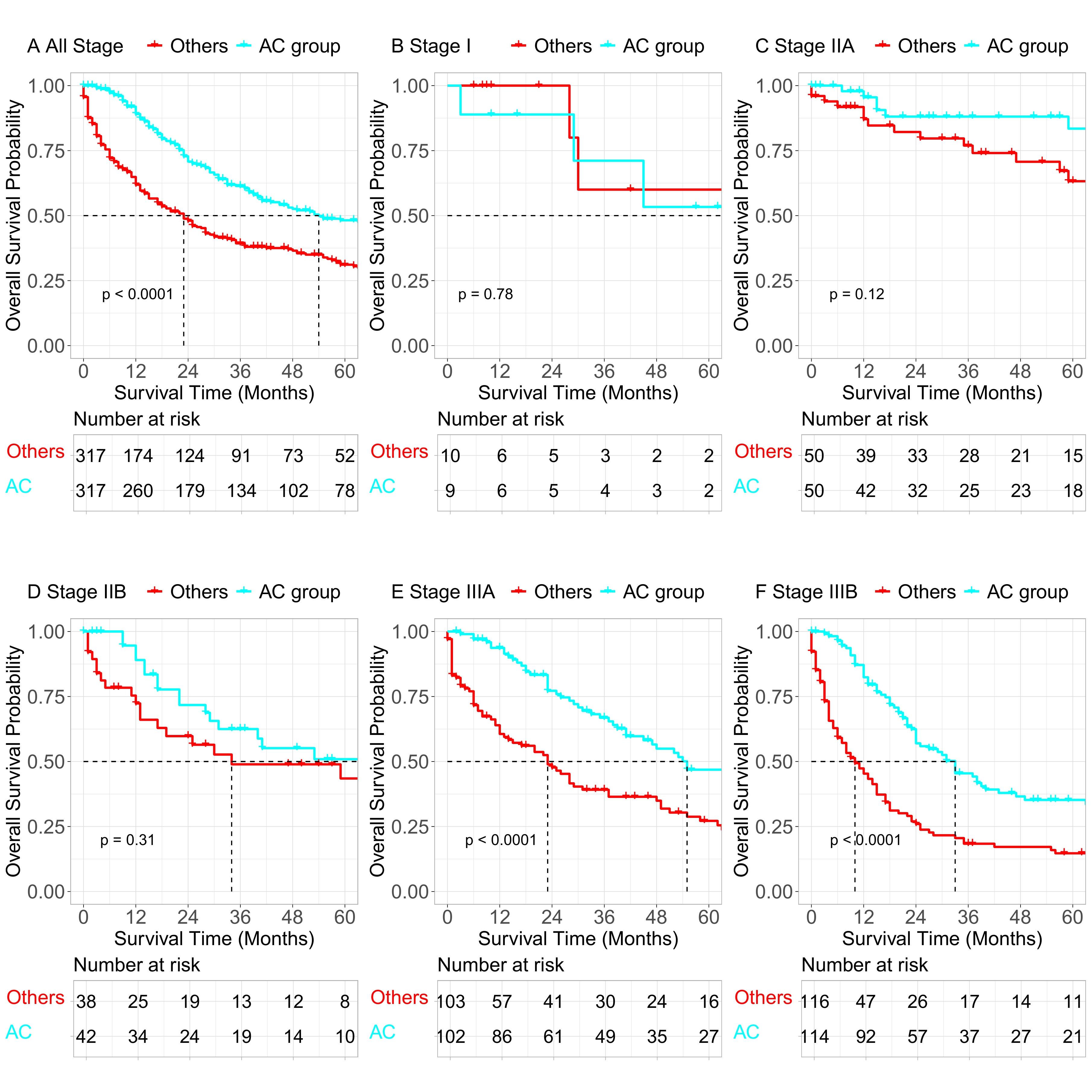
目的: 探讨辅助化疗在不同分期的十二指肠腺癌(DAC)病人中的有效性。方法: 研究对2000年1月至2021年12月之间在SEER数据库中诊断为DAC的病人进行回顾性分析。使用Kaplan-Meier曲线分析辅助化疗对不同分期DAC生存率的影响。采用单因素和多因素COX回归分析确定辅助化疗是否为影响癌症特异生存(CSS)和总生存(OS)的独立预后因素。结果: 共有1 195例符合纳入标准的病人纳入研究。其中,620例(51.9%)术后接受辅助化疗,定义为辅助化疗组,575例(48.1%)仅接受手术,定义为其他组。经倾向性评分匹配后,共634例纳入后续分析。亚组分析表明,ⅢA期和ⅢB期辅助化疗组与其他组病人CSS和OS差异有统计学意义(P<0.05),Ⅰ期、ⅡA期、ⅡB期辅助化疗组与其他组病人CSS和OS差异均无统计学意义(P>0.05)。多因素分析表明,辅助化疗是影响DAC病人CSS和OS的独立保护因素。此外,年龄、诊断年份、肿瘤分级、区域淋巴结检出数(RNE)、TNM分期也是CSS和OS的独立保护或危险因素(P<0.05)。结论: 根据分期分层分析,DAC病人辅助化疗的生存获益如下:ⅢA和ⅢB期的病人CSS和OS均获益,Ⅰ、ⅡA、ⅡB期病人CSS或OS均无法获益。
中图分类号:
王宇, 胡凯欣, 赵凤庆, 李皇保. 辅助化疗在十二指肠腺癌各分期的疗效差异:基于SEER数据库的多因素生存分析[J]. 外科理论与实践, 2025, 30(05): 428-437.
WANG Yu, HU Kaixin, ZHAO Fengqing, LI Huangbao. Efficacy variations of adjuvant chemotherapy across disease stages in duodenal adenocarcinoma: a multivariate survival analysis based on the SEER database[J]. Journal of Surgery Concepts & Practice, 2025, 30(05): 428-437.
表1
倾向性评分匹配前接受手术的DAC病人的基线人口统计学和临床特征[n(%)]
| Variables | AC group (n=620) | Other group (n=575) | Total (n=1195) | χ² value | P value |
|---|---|---|---|---|---|
| Sex | 0.42 | 0.812 | |||
| Male | 349 (56.3) | 313 (54.4) | 662 (55.4) | ||
| Female | 271 (43.7) | 262 (45.6) | 533 (44.6) | ||
| Age (year) | 70.06 | < 0.001 | |||
| <65 | 342 (55.2) | 179 (31.1) | 521 (43.6) | ||
| ≥65 | 278 (44.8) | 396 (68.9) | 674 (56.4) | ||
| Race | 2.62 | 0.623 | |||
| White | 452 (72.9) | 442 (76.9) | 894 (74.8) | ||
| Black | 107 (17.3) | 82 (14.3) | 189 (15.8) | ||
| Others | 61 (9.8) | 51 (8.9) | 112 (9.4) | ||
| Tumor size (mm) | 3.36 | 0.187 | |||
| <40 | 282 (45.5) | 292 (50.8) | 574 (48.0) | ||
| ≥40 | 338 (54.5) | 283 (49.2) | 621 (52.0) | ||
| Year of diagnosis | 4.42 | 0.110 | |||
| 2000—2012 | 259 (41.8) | 275 (47.8) | 534 (44.7) | ||
| 2013—2021 | 361 (58.2) | 300 (52.2) | 661 (55.3) | ||
| Grade | 10.05 | 0.007 | |||
| Poorly (Ⅲ+ Ⅳ) | 260 (41.9) | 190 (33.0) | 450 (37.7) | ||
| Well (I +Ⅱ) | 360 (58.1) | 385 (67.0) | 745 (62.3) | ||
| Radiotherapy | 130.2 | < 0.001 | |||
| Others | 479 (77.3) | 569 (99.0) | 1048 (87.7) | ||
| Present | 141 (22.7) | 6 (1.0) | 147 (12.3) | ||
| RNE | 11.31 | 0.003 | |||
| ≤18 | 362 (58.4) | 390 (67.8) | 752 (62.9) | ||
| >18 | 258 (41.6) | 185 (32.2) | 443 (37.1) | ||
| N stage | 121.19 | < 0.001 | |||
| N0 | 148 (23.9) | 315 (54.8) | 463 (38.7) | ||
| N1 | 200 (32.2) | 121 (21.0) | 321 (26.9) | ||
| N2 | 272 (43.9) | 139 (24.2) | 411 (34.4) | ||
| TNM stage | 159.2 | < 0.001 | |||
| Ⅰ | 10 (1.6) | 98 (17.0) | 108 (9.0) | ||
| ⅡA | 65 (10.5) | 138 (24.0) | 203 (17.0) | ||
| ⅡB | 73 (11.8) | 79 (13.7) | 152 (12.7) | ||
| ⅢA | 200 (32.3) | 121 (21.0) | 321 (26.9) | ||
| ⅢB | 272 (43.9) | 139 (24.2) | 411 (34.4) |
表2
倾向性评分匹配后接受手术的DAC病人基线人口统计学和临床特征[n(%)]
| Variables | AC group (n=317) | Other group (n=317) | Total (n=634) | χ² value | P value |
|---|---|---|---|---|---|
| Sex | 0.23 | 0.889 | |||
| Male | 184 (58.0) | 190 (59.9) | 374 (59.0) | ||
| Female | 133 (42.0) | 127 (40.1) | 260 (41.0) | ||
| Age (year) | 1.66 | 0.436 | |||
| <65 | 141 (44.5) | 125 (39.4) | 266 (42.0) | ||
| ≥65 | 176 (55.5) | 192 (60.6) | 368 (58.0) | ||
| Race | 0.07 | 0.999 | |||
| White | 238 (75.1) | 236 (74.4) | 474 (74.8) | ||
| Black | 48 (15.1) | 48 (15.1) | 96 (15.1) | ||
| Others | 31 (9.8) | 33 (10.4) | 64 (10.1) | ||
| Tumor size (mm) | 0.01 | 0.997 | |||
| <40 | 146 (46.1) | 147 (46.4) | 293 (46.2) | ||
| ≥40 | 171 (53.9) | 170 (53.6) | 341 (53.8) | ||
| Year of diagnosis | 0.78 | 0.677 | |||
| 2000—2012 | 140 (44.2) | 129 (40.7) | 269 (42.4) | ||
| 2013—2021 | 177 (55.8) | 188 (59.3) | 365 (57.6) | ||
| Grade | 5.23 | 0.07 | |||
| Poorly (Ⅲ+ Ⅳ) | 132 (41.6) | 104 (32.8) | 236 (37.2) | ||
| Well (I +Ⅱ) | 185 (58.4) | 213 (67.2) | 398 (62.8) | ||
| Radiotherapy | 1.51 | 0.47 | |||
| Others | 306 (96.5) | 311 (98.1) | 617 (97.3) | ||
| Present | 11 (3.5) | 6 (1.9) | 17 (2.7) | ||
| RNE | 0.54 | 0.763 | |||
| ≤18 | 191 (60.3) | 200 (63.1) | 391 (61.7) | ||
| >18 | 126 (39.7) | 117 (36.9) | 243 (38.3) | ||
| N stage | 0.07 | 0.999 | |||
| N0 | 101 (31.9) | 98 (30.9) | 199 (31.4) | ||
| N1 | 102 (32.2) | 103 (32.5) | 205 (32.3) | ||
| N2 | 114 (36.0) | 116 (36.6) | 230 (36.3) | ||
| TNM stage | 0.27 | 1 | |||
| Ⅰ | 9 (2.8) | 10 (3.2) | 19 (3.0) | ||
| ⅡA | 50 (15.8) | 50 (15.8) | 100 (15.8) | ||
| ⅡB | 42 (13.2) | 38 (12.0) | 80 (12.6) | ||
| ⅢA | 102 (32.2) | 103 (32.5) | 205 (32.3) | ||
| ⅢB | 114 (36.0) | 116 (36.6) | 230 (36.3) |
表3
各分期的中位CSS及1年、3年和5年生存率
| Stage | Group | Median time(month) | 1-year survival rate (%) | 3-year survival rate (%) | 5-year survival rate (%) |
|---|---|---|---|---|---|
| All | Other group | 29 | 67.2 | 47. 2 | 39.4 |
| AC group | 64 | 90.3 | 63.3 | 50.1 | |
| Ⅰ | Other group | 71 | 100 | 75.0 | 75.0 |
| AC group | - | 100 | 80.0 | 80.0 | |
| ⅡA | Other group | - | 91.3 | 83.2 | 72.6 |
| AC group | - | 95.5 | 88.1 | 83.4 | |
| ⅡB | Other group | - | 79.0 | 64.8 | 64.8 |
| AC group | - | 91.6 | 64.3 | 52.4 | |
| ⅢA | Other group | 28 | 66.0 | 46.6 | 34.1 |
| AC group | 55 | 94.6 | 67.5 | 47.3 | |
| ⅢB | Other group | 13 | 50.4 | 22.9 | 18.4 |
| AC group | 33 | 83.2 | 48.5 | 37.6 |
表4
各分期的中位OS期及1年、3年和5年生存率
| Stage | Group | Median time(month) | 1-year survival rate (%) | 3-year survival rate (%) | 5-year survival rate (%) |
|---|---|---|---|---|---|
| All | Other group | 23 | 61.9 | 39.3 | 31.1 |
| AC group | 54 | 89.1 | 61.4 | 48.2 | |
| Ⅰ | Other group | 71 | 100 | 60.0 | 60.0 |
| AC group | - | 88.9 | 71.1 | 53.3 | |
| ⅡA | Other group | - | 87.1 | 76.9 | 63.2 |
| AC group | - | 95.5 | 88.1 | 83.4 | |
| ⅡB | Other group | 34 | 72.4 | 48.9 | 43.5 |
| AC group | 108 | 89.0 | 62.5 | 50.9 | |
| ⅢA | Other group | 23 | 60.6 | 39.1 | 27.2 |
| AC group | 55 | 93.7 | 66.8 | 46.9 | |
| ⅢB | Other group | 10 | 45.3 | 18.4 | 14.7 |
| AC group | 30 | 82.4 | 45.4 | 35.2 |
表5
接受手术DAC病人的CSS单因素和多因素分析
| Variables | Cases | Univariate COX for CSS | Multivariate COX for CSS | |||
|---|---|---|---|---|---|---|
| HR(95%CI) | P value | HR(95%CI) | P value | |||
| Sex | ||||||
| Male | 374 | reference | ||||
| Female | 260 | 0.83(0.66-1.05) | 0.130 | |||
| Age (year) | ||||||
| <65 | 266 | reference | reference | |||
| ≥65 | 368 | 1.7(1.33-2.17) | <0.001 | 1.34 (1.04-1.73) | 0.022 | |
| Race | ||||||
| White | 474 | reference | ||||
| Black | 96 | 1.21(0.88-1.67) | 0.241 | |||
| Others | 64 | 1.14(0.77-1.69) | 0.518 | |||
| Tumor size (mm) | ||||||
| <40 | 293 | reference | reference | |||
| ≥40 | 341 | 0.76(0.6-0.96) | 0.0212 | 0.84 (0.67-1.07) | 0.159 | |
| Year of diagnosis | ||||||
| 2000—2012 | 269 | reference | reference | |||
| 2013—2021 | 365 | 0.71(0.56-0.9) | 0.005 | 0.79 (0.62-0.99) | 0.044 | |
| Grade | ||||||
| Well (Ⅰ+Ⅱ) | 398 | reference | reference | |||
| Poorly (Ⅲ+Ⅳ) | 236 | 1.5(1.19-1.89) | <0.001 | 1.51 (1.19-1.92) | 0.001 | |
| Radiotherapy | ||||||
| Others | 617 | reference | ||||
| Present | 17 | 0.48(0.22-1.09) | 0.0474 | |||
| RNE | ||||||
| ≤18 | 391 | reference | reference | |||
| >18 | 243 | 0.64(0.5-0.83) | <0.001 | 0.61 (0.47-0.79) | <0.001 | |
| N stage | ||||||
| N0 | 199 | reference | ||||
| N1 | 205 | 2.39(1.69-3.38) | <0.001 | |||
| N2 | 230 | 3.73(2.68-5.2) | <0.001 | |||
| TNM stage | ||||||
| Ⅰ | 19 | reference | reference | |||
| ⅡA | 100 | 0.9(0.26-3.05) | <0.001 | 1.07 (0.32-3.66) | 0.909 | |
| ⅡB | 80 | 1.96(0.59-6.49) | <0.001 | 2.08 (0.63-6.89) | 0.23 | |
| ⅢA | 205 | 3.1(0.98-9.78) | <0.001 | 3.34 (1.05-10.55) | 0.04 | |
| ⅢB | 230 | 4.84(1.54-15.2) | <0.001 | 5.31 (1.69-16.7) | 0.004 | |
| Chemotherapy | ||||||
| Other | 317 | reference | reference | |||
| Present | 317 | 0.58(0.46-0.73) | <0.001 | 0.49 (0.38-0.62) | <0.001 | |
表6
接受手术DAC病人的OS单因素和多因素分析
| Variables | Cases | Univariate COX for OS | Multivariate COX for OS | |||
|---|---|---|---|---|---|---|
| HR(95%CI) | P value | HR(95%CI) | P value | |||
| Sex | ||||||
| Male | 374 | reference | ||||
| Female | 260 | 0.78(0.63-0.97) | 0.0243 | |||
| Age (year) | ||||||
| <65 | 266 | reference | reference | |||
| ≥65 | 368 | 1.76(1.41-2.2) | <0.001 | 1.41 (1.12-1.78) | 0.004 | |
| Race | ||||||
| White | 474 | reference | ||||
| Black | 96 | 1.39(1.05-1.84) | 0.023 | |||
| Others | 64 | 1.11(0.77-1.61) | 0.571 | |||
| Tumor size (mm) | ||||||
| <40 | 293 | reference | reference | |||
| ≥40 | 341 | 0.8(0.65-0.99) | 0.039 | 0.89 (0.72-1.1) | 0.292 | |
| Year of diagnosis | ||||||
| 2000—2012 | 269 | reference | reference | |||
| 2013—2021 | 365 | 0.74(0.59-0.92) | 0.006 | 0.8 (0.64-0.99) | 0.043 | |
| Grade | ||||||
| Well (Ⅰ+Ⅱ) | 398 | reference | reference | |||
| Poorly (Ⅲ+Ⅳ) | 236 | 1.34(1.08-1.66) | 0.007 | 1.38 (1.11-1.72) | 0.004 | |
| Radiotherapy | ||||||
| Others | 617 | reference | ||||
| Present | 17 | 0.52(0.26-1.06) | 0.072 | |||
| RNE | ||||||
| ≤18 | 391 | reference | reference | |||
| >18 | 243 | 0.7(0.56-0.88) | 0.003 | 0.68 (0.54-0.85) | 0.001 | |
| N stage | ||||||
| N0 | 199 | reference | ||||
| N1 | 205 | 2.13(1.58-2.89) | <0.001 | |||
| N2 | 230 | 3.13(2.34-4.19) | <0.001 | |||
| TNM stage | ||||||
| Ⅰ | 19 | reference | reference | |||
| ⅡA | 100 | 0.56(0.23-1.37) | 0.203 | 0.66 (0.27-1.63) | 0.367 | |
| ⅡB | 80 | 1.3(0.54-3.08) | 0.557 | 1.37 (0.57-3.26) | 0.48 | |
| ⅢA | 205 | 1.84(0.81-4.18) | 0.145 | 1.96 (0.86-4.46) | 0.11 | |
| ⅢB | 230 | 2.7(1.2-6.11) | 0.016 | 2.96 (1.31-6.71) | 0.009 | |
| Chemotherapy | ||||||
| Other group | 317 | reference | ||||
| Present | 317 | 0.51(0.41-0.63) | <0.001 | 0.44 (0.35-0.55) | <0.001 | |
| [1] |
ECKER B L, MCMILLAN M T, DATTA J, et al. Adjuvant chemotherapy versus chemoradiotherapy in the management of patients with surgically resected duodenal adenocarcinoma: a propensity score-matched analysis of a nationwide clinical oncology database[J]. Cancer, 2017, 123(6):967-976.
doi: 10.1002/cncr.v123.6 URL |
| [2] | SIEGEL R L, KRATZER T B, GIAQUINTO A N, et al. Cancer statistics, 2025[J]. CA Cancer J Clin, 2025, 75(1):10-45. |
| [3] |
LEGUé L M, BERNARDS N, GERRITSE S L, et al. Trends in incidence, treatment and survival of small bowel adenocarcinomas between 1999 and 2013: a population-based study in the Netherlands[J]. Acta Oncol, 2016, 55(9-10):1183-1189.
doi: 10.1080/0284186X.2016.1182211 pmid: 27170100 |
| [4] | SHI J, LIU S, CAO J, et al. Development and validation of lymph node ratio-based nomograms for primary duodenal adenocarcinoma after surgery[J]. Front Oncol, 2022,12:962381. |
| [5] |
KASLOW S R, PRENDERGAST K, VITIELLO G A, et al. Systemic therapy for duodenal adenocarcinoma: an analysis of the National Cancer Database (NCDB)[J]. Surgery, 2022, 172(1):358-364.
doi: 10.1016/j.surg.2022.03.009 URL |
| [6] |
CLOYD J M, GEORGE E, VISSER B C. Duodenal adenocarcinoma: advances in diagnosis and surgical management[J]. World J Gastrointest Surg, 2016, 8(3):212-221.
doi: 10.4240/wjgs.v8.i3.212 pmid: 27022448 |
| [7] |
POULTSIDES G A, HUANG L C, CAMERON J L, et al. Duodenal adenocarcinoma: clinicopathologic analysis and implications for treatment[J]. Ann Surg Oncol, 2012, 19(6):1928-1935.
doi: 10.1245/s10434-011-2168-3 pmid: 22167476 |
| [8] |
TURPIN A, EL AMRANI M, ZAANAN A. Localized small bowel adenocarcinoma management: evidence summary[J]. Cancers (Basel), 2022, 14(12):2892.
doi: 10.3390/cancers14122892 URL |
| [9] |
SYMONS R, DALY D, GANDY R, et al. Progress in the treatment of small intestine cancer[J]. Curr Treat Options Oncol, 2023, 24(4):241-261.
doi: 10.1007/s11864-023-01058-3 |
| [10] | AMIN M B, GREENE F L, EDGE S B, et al. The eighth edition AJCC cancer staging manual: continuing to build a bridge from a population-based to a more “persona-lized” approach to cancer staging[J]. CA Cancer J Clin, 2017, 67(2):93-99. |
| [11] |
CAMP R L, DOLLED-FILHART M, RIMM D L. X-tile: a new bio-informatics tool for biomarker assessment and outcome-based cut-point optimization[J]. Clin Cancer Res, 2004, 10(21):7252-7259.
doi: 10.1158/1078-0432.CCR-04-0713 pmid: 15534099 |
| [12] |
ZHANG Z. Propensity score method: a non-parametric technique to reduce model dependence[J]. Ann Transl Med, 2017, 5(1):7.
doi: 10.21037/atm.2016.08.57 pmid: 28164092 |
| [13] |
CEN P, WRAY C J, ZHANG S, et al. Durable response for ampullary and duodenal adenocarcinoma with a nab-paclitaxel plus gemcitabine ± cisplatin combination[J]. Cancer Med, 2019, 8(7):3464-3470.
doi: 10.1002/cam4.2019.8.issue-7 URL |
| [14] |
LAMARCA A, FOSTER L, VALLE J W, et al. FOLFIRINOX or FOLFOXIRI in locally advanced duodenal adenocarcinoma: are we missing out?[J]. ESMO Open, 2020, 5(5):e000633.
doi: 10.1136/esmoopen-2019-000633 URL |
| [15] |
HIRASHITA T, OHTA M, TADA K, et al. Prognostic factors of non-ampullary duodenal adenocarcinoma[J]. Jpn J Clin Oncol, 2018, 48(8):743-747.
doi: 10.1093/jjco/hyy086 pmid: 29931295 |
| [16] | 潘军, 陈一天, 张飞, 等. 十二指肠癌根治术后患者辅助化疗的临床疗效及预后因素分析[J]. 现代肿瘤医学, 2024, 32(20):3906-3910. |
| PAN J, CHEN Y T, ZHANG F, et al. Clinical efficacy and prognostic factors of adjuvant chemotherapy in patients after radical resection of duodenal cancer[J]. J Mod Oncol, 2024, 32(20):3906-3910. | |
| [17] | ZAANAN A, HENRIQUES J, TURPIN A, et al. Adjuvant chemotherapy benefit according to T and N stage in small bowel adenocarcinoma: a large retrospective multicenter study[J]. JNCI Cancer Spectr, 2023, 7(5):pkad064. |
| [18] |
ZHANG G Y, MAO J, ZHAO B, et al. Duodenal bulb adenocarcinoma benefitted from neoadjuvant chemotherapy: a case report[J]. Chemotherapy, 2017, 62(5):290-294.
doi: 10.1159/000469700 URL |
| [19] |
YASUDA S, HARADA S, TSUJIMOTO A, et al. A pathological complete response by chemotherapy with S-1 and oxaliplatin for a locally advanced duodenal adenocarcinoma in Lynch syndrome: a case report[J]. Surg Case Rep, 2019, 5(1):146.
doi: 10.1186/s40792-019-0712-8 pmid: 31637551 |
| [20] | CHEN X, ZHOU R, LI Y, et al. Case report: a case of duodenal adenocarcinoma achieving significantly long survival treating with immune checkpoint inhibitors and chemotherapy without positive biomarkers[J]. Front Immunol, 2022,13:1046513. |
| [1] | . 基于Transformer对比学习的自动睡眠分期方法[J]. J Shanghai Jiaotong Univ Sci, 2025, 30(4): 720-732. |
| [2] | 赵然, 詹维伟, 李成, 汤海浪, 卜玉莲, 刘坤. 经直肠超声造影联合磁共振成像在中低位直肠癌T分期及治疗决策中的应用价值[J]. 诊断学理论与实践, 2025, 24(03): 293-300. |
| [3] | 林起柱, 刘红枝, 黄霆峰, 范瑞林, 周伟平, 郑树国, 楼健颖, 曾永毅. 基于肝内胆管癌预后模型筛选辅助化疗受益人群[J]. 外科理论与实践, 2024, 29(02): 170-178. |
| [4] | 胡彬蔚, 沈柏用. 胰腺癌新辅助治疗的优势和进展[J]. 外科理论与实践, 2024, 29(01): 74-80. |
| [5] | 孙祺, 黄文博, 何炳良, 刘畅, 徐宇航, 赵伟. 预防性腹腔热灌注化疗对局部进展期胃癌根治术后病人预后改善的有效性研究[J]. 外科理论与实践, 2023, 28(04): 366-370. |
| [6] | 郑亚民, 顾利国, 许臣. 胆囊结石病理生理进展分期和个性化诊治[J]. 外科理论与实践, 2023, 28(02): 94-99. |
| [7] | 颜凌, 王凌云, 陈勇, 杜联军. 双能CT图像深度学习重建算法在胃癌术前T分期中的应用[J]. 诊断学理论与实践, 2023, 22(02): 154-159. |
| [8] | 李国立, 郭飞龙. 动静脉结合术前化疗在进展期胃癌治疗中的应用[J]. 外科理论与实践, 2023, 28(01): 31-35. |
| [9] | 胡端敏. 内镜超声检查对胃癌浸润深度的判断及影响因素[J]. 诊断学理论与实践, 2023, 22(01): 85-88. |
| [10] | 聂明明, 朱正纲. 腹腔镜探查对进展期胃癌精准分期的临床意义[J]. 外科理论与实践, 2022, 27(04): 365-370. |
| [11] | 岳婧婧, 宋琦, 江旭峰, 王黎, 赵维莅, 严福华. 磁共振全身扩散加权成像结合T2WI抑脂序列与FDG-PET/CT在初发淋巴瘤分期及病灶检出的对比研究[J]. 诊断学理论与实践, 2021, 20(06): 540-546. |
| [12] | 赵建治, 糜坚青. 多发性骨髓瘤相关生物标志物的研究进展[J]. 诊断学理论与实践, 2021, 20(05): 507-511. |
| [13] | 冯明洋, 丁叶舟, 赵青青, 赵钢德, 娄世珂, 郑超, 孙学华, 刘柯慧, 林兰意, 谢青, 郑岚, 王晖. 肝衰竭患者中医证型与西医肝衰竭分期之间的关系观察[J]. 诊断学理论与实践, 2021, 20(04): 391-395. |
| [14] | 于颖彦. 第5版WHO消化道肿瘤分类与分期解读:结肠直肠肿瘤[J]. 外科理论与实践, 2021, 26(04): 312-317. |
| [15] | 司安锋, 雷正清, 杨平华, 江涛, 王轩, 程张军. 巨块型肝内胆管癌术后经肝动脉化疗栓塞的有效性[J]. 外科理论与实践, 2021, 26(02): 138-143. |
| 阅读次数 | ||||||
|
全文 |
|
|||||
|
摘要 |
|
|||||