Recently, Prof. Wang Wei’s research team from School of Physics and Astronomy, SJTU published a research paper titled “Next-to-Next-to-Leading Order Calculation of Quasiparton Distribution Functions” in Physical Review Letters, a top international physics journal.

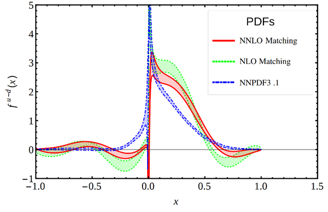
Prof. Wang Wei and his collaborators calculated the quark quasiparton distribution functions at two-loop order, verified the factorization formula of the large-momentum effective theory at the next-to-next-to-leading order (NNLO), and obtained the analytical expression of the matching coefficient of NNLO. Combined with lattice quantum chromodynamics simulations, they obtained the model-independent quasiparton distribution function. These results have important scientific significance for understanding the internal structure of nuclei under the first-principles.

Dr. Chen Longbin from Guangzhou University is the first author of the paper. Prof. Wang Wei from SJTU and Assoc. Prof. Zhu Ruilin from Nanjing Normal University (who has conducted post-doctorate research at SJTU) are the co-corresponding authors.
The research is supported by the National Natural Science Foundation of China, Shanghai Key Laboratory, and Key Laboratory of the Ministry of Education. Numerical calculations rely on the Pi2.0 supercomputing platform of the Center for High Performance Computing, SJTU.
Shanghai Jiao Tong University
No.800 Dong Chuan Road, No.5 Physics building
Minhang District, Shanghai,
200240
沪交ICP备05010
© School of Physics and Astronomy Shanghai Jiao Tong University All rights reserved
WeChat Official Account